
正壓標準漏孔與不同氣體漏率換算
1 正壓檢漏的分類
檢漏方法分為兩大類:被檢件承受負(外)壓,即抽成真空的叫真空檢漏;被檢件承受正(內)壓的叫正壓檢漏,也有人叫充壓檢漏。
正壓檢漏一般有三種方法(參見參考資料4):
1)吸槍法:用吸槍直接在漏孔出口處獲得示漏氣體,與正壓校準漏孔作比對定量。這種方法適於漏孔處於吸槍可及位置的產品作正壓檢漏。
2)氣罩積分法:把被檢件或被檢部位置於氣罩內,罩內為大氣壓。示漏氣體漏人罩內,隨時間積分,再用吸槍取樣,輸入檢漏儀檢測,與正壓校準漏孔比對定量。
3)加壓真空法:產品充正壓後,置於真空室內,或將漏氣局部置於真空罩內,檢漏儀與真空室(罩)相聯,與真空校準漏孔作比對定量。
2 正壓校準(標準)漏孔
校準漏孔是檢漏時用來作漏率定量時的比對標準。其功用是向檢漏係統提供一個已知的微流量,真空檢漏的標準漏孔是在 P1≈105Pa,P2<103Pa,T=23±7℃條件下測得幹燥空氣的漏率值作漏孔的標定值。真空檢漏時它的使用條件也是向真空中泄漏,所以可以作為比對標準。
正壓檢漏中的第三種方法(加壓真空法)中產品上的漏孔也是向真空中泄漏,真空校準漏孔裝在檢漏係統中的真空室上,其人口壓力P1雖然不同於產品所充的壓力,但隻要它的入口壓力仍保持標定時的Pl=105Pa,則所提供的漏率仍是標定時的漏率值,所以加壓真空法的正壓檢漏仍應用真空檢漏的標準漏孔。
正壓檢漏中的第一種(吸槍法)和第二種(氣罩積分法)方法中,產品上的漏孔都是向大氣泄漏,真空校準漏孔裝在這裏如果其入口壓力P1仍然保持P1=105Pa,出口壓力與入口壓力相等,漏率就等於零。若P1>105Pa,有了漏率,但不是該漏孔的標定值了。因此,蜜桃久久久亚洲精品認為第一、二種方法的正壓檢漏不能用真空校準漏孔作比對標準。
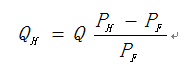
有人提出,一個已知真空校準值為Q0的真空校準漏孔,隻要按下式計算,就可以得到該漏孔的正壓校準漏率值QH,並作為吸槍法正壓檢漏的比對標準漏率。

式中: Q0 — 校準漏孔的真空標定值
QH — 校準漏孔的正壓漏率值
PH — 校準漏孔入口壓力 P1=PH
PF — 校準漏孔出口壓力 P2=PF
這種用理論計算的方法代替漏孔的實際校準誤差很大,據資料記載,僅這種替代方法本身導致的誤差就可達43%。所以,還是應該研究正壓漏孔的校準技術。目前,蘭州510所和清華大學電子工程係分別研究的正壓漏孔校準裝置都即將取得成功,不久即可投入使用。八十年代初,中國運載火箭技術研究院創造的簡易正壓漏孔校準法—排水集氣法,解決了當時檢漏技術發展的急需。這個方法如能進一步改進,其校準速度與靈敏度還可以大幅度提高,用於生產單位仍有廣泛的市場。
關於正壓漏孔,還要說明幾點:
1)不是所有的正壓檢漏方法都應該使用正壓校準漏孔,隻是吸槍法和氣罩積分法應該用正壓校準漏孔,而加壓真空法則應該使用真空校準漏孔。另外,氣罩積分法還可以用標準氣樣代替正壓校準漏孔,將標準氣樣注入氣罩形成示漏氣體的一定濃度,代替由正壓標準漏孔用時間積分獲得的相應濃度。
2)正壓校準漏孔的名稱和其特征並不貼切,正壓校準漏孔的特征是向大氣中泄漏,區別於真空校準漏孔向真空泄漏。
3)不要把正壓校準漏孔理解為入口壓力很高的高壓漏孔,它的功能是要提供一個某種氣體的已知微流量。出口壓力一定是大氣壓,入口壓力一定大於大氣壓,但是隻要大得足以形成要求的微流量就成了,不一定是高壓,而且入口壓力值與產品的檢漏壓力值也沒有直接關係。以為正壓校準漏孔的入口壓力必定等於產品檢漏時的檢漏壓力是不對的。
3 不同氣體的漏率換算
大容積產品的正壓氦質譜檢漏需要耗費大量的氦氣,人們很自然地想到在允許降低檢漏靈敏度的範圍內,采用了氦—空氣的混合氣體作示漏氣體。在大貯箱的檢漏中,經常用含氦量5~10%的混合氣體作示漏氣體,以降低檢漏的成本。
混合氣體漏率和氦漏率的換算也就是不同氣體的漏率換算,一般有兩種辦法:
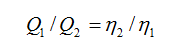
1)理論計算法:對於同一漏孔,壓力溫度都相同的情況下,不同氣體的漏率是不同的.粘滯流漏孔的特征是漏率與氣體粘滯係數成反比:
分子流漏孔的不同氣體漏率比則應等於其分子量平方根的反比:
2)工程上使用的實際置換法
上述的理論計算方法要求首先要判定漏孔內的流動狀態,而據國外資料報導(參見參考資料5),10-3~10-9Pa•m3/s的漏孔都具有粘滯一分子流(過渡流)特性,在這個漏率範圍內不同氣體漏率的理論換算幾乎無法進行。
八十年代初,運載火箭技術研究院21l廠七車間創造了一種實際置換的辦法,使蜜桃久久久亚洲精品完全不需要進行不同氣體漏率的換算。
這種方法的理論依據是任意漏孔的漏率值是漏孔尺寸、入口壓力P1、出口壓力P2和氣體種類的單值函數,任意兩個參數不同的漏孔充某種氣體時,如果漏率相等,同時都換成另一種氣體時,它們的漏率仍相等。
例如,某貯箱充0.3MPa氦氣時,單孔漏率應小於1×10-5Pa•m3/s,
現用氦—空氣混合氣體檢漏,怎樣確定混合氣體的最大允許漏率?
具體做法是先向正壓漏孔內充氦氣,調節其壓力為P1,使其QHe等於或稍小於1×10-5Pa•m3/s,再放掉正壓校準漏孔的氦氣,充以選定的混合氣體至壓力也等於P1,這時就以此不知大小的混合氣體漏率為比對標準,在貯箱內充混合氣體至0.3MPa檢漏,若貯箱某漏孔的混合氣體漏率小於或等於正壓校準漏孔的混合氣體漏率,則可以斷定,貯箱在充0.3MPa氦氣時,該漏孔的氦漏率值一定小於或等於1×10-5Pa•m3/s。
這種置換法避免了用理論計算帶來的誤差。